Instructional Video18:49
Curated Video

Data Structures and Algorithms The Complete Masterclass - Recursion: Tree Recursion – Part 4

Higher Ed
This is the fourth part of the four-part recursion-based video that explains tree recursion in data structures. This clip is from the chapter "Essential Concepts - II" of the series "Data Structures and Algorithms: The Complete...
Instructional Video7:38
Curated Video

Data Structures and Algorithms The Complete Masterclass - Recursion Example - Factorial of a Number

Higher Ed
This video provides a recursion-based example and explains how to get the factorial of a number. This clip is from the chapter "Essential Concepts - II" of the series "Data Structures and Algorithms: The Complete Masterclass".This is the...
Instructional Video12:52
Curated Video

Data Structures and Algorithms The Complete Masterclass - Quick Sort Complexity

Higher Ed
This video focuses on the quick sort complexity. This clip is from the chapter "Algorithm: Sorting Advanced" of the series "Data Structures and Algorithms: The Complete Masterclass".This section explains the concept of advanced sorting.
Instructional Video22:21
Curated Video

Data Structures and Algorithms The Complete Masterclass - Quick Sort

Higher Ed
This video introduces you to quick sort in data structure. This clip is from the chapter "Algorithm: Sorting Advanced" of the series "Data Structures and Algorithms: The Complete Masterclass".This section explains the concept of advanced...
Instructional Video5:37
Curated Video

Data Structures and Algorithms The Complete Masterclass - Merge Sort Complexity

Higher Ed
This video explains merge sort complexity. This clip is from the chapter "Algorithm: Sorting Advanced" of the series "Data Structures and Algorithms: The Complete Masterclass".This section explains the concept of advanced sorting.
Instructional Video13:12
Curated Video

Data Structures and Algorithms The Complete Masterclass - Merge Sort

Higher Ed
This video introduces you to merge sort. This clip is from the chapter "Algorithm: Sorting Advanced" of the series "Data Structures and Algorithms: The Complete Masterclass".This section explains the concept of advanced sorting.
Instructional Video4:03
Curated Video

Data Structures and Algorithms The Complete Masterclass - Max Stacks

Higher Ed
This video introduces you to max stacks. This clip is from the chapter "Question 3: Max Stack" of the series "Data Structures and Algorithms: The Complete Masterclass".This section explains the concept of a max stack.
Instructional Video17:18
Curated Video

Data Structures and Algorithms The Complete Masterclass - Longest Palindromic Substring – Part 2

Higher Ed
This is the second part of the two-part video that focuses on the longest palindromic substring. This clip is from the chapter "Question 11: Longest Palindromic Substring" of the series "Data Structures and Algorithms: The Complete...
Instructional Video21:59
Curated Video

Data Structures and Algorithms The Complete Masterclass - Longest Palindromic Substring – Part 1

Higher Ed
This is the first part of the two-part video that explains the longest palindromic substring. This clip is from the chapter "Question 11: Longest Palindromic Substring" of the series "Data Structures and Algorithms: The Complete...
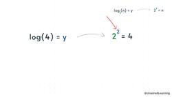
Instructional Video11:13
Curated Video

Data Structures and Algorithms The Complete Masterclass - Logarithm

Higher Ed
This video focuses on logarithm in data structures. This clip is from the chapter "Essential Concepts - I" of the series "Data Structures and Algorithms: The Complete Masterclass".This is the first part of the two-part section that...
Instructional Video25:54
Curated Video

Data Structures and Algorithms The Complete Masterclass - Linked Lists

Higher Ed
This video provides an introduction to linked lists. This clip is from the chapter "Data Structures – Linked Lists" of the series "Data Structures and Algorithms: The Complete Masterclass".This section introduces you to linked lists in...
Instructional Video20:44
Curated Video

Data Structures and Algorithms The Complete Masterclass - Linked List Complexities

Higher Ed
This video focuses on complexities of linked lists. This clip is from the chapter "Data Structures – Linked Lists" of the series "Data Structures and Algorithms: The Complete Masterclass".This section introduces you to linked lists in...
Instructional Video7:31
Curated Video

Data Structures and Algorithms The Complete Masterclass - Linear Search

Higher Ed
This video explains the concept of a linear search. This clip is from the chapter "Algorithm: Searching" of the series "Data Structures and Algorithms: The Complete Masterclass".This section explains the concept of searching.
Instructional Video12:51
Curated Video

Data Structures and Algorithms The Complete Masterclass - Invert Binary Tree – Part 2

Higher Ed
This is the second part of the two-part video that explains a problem based on invert binary tree. This clip is from the chapter "Question 7: Invert Binary Tree" of the series "Data Structures and Algorithms: The Complete...
Instructional Video20:11
Curated Video

Data Structures and Algorithms The Complete Masterclass - Invert Binary Tree – Part 1

Higher Ed
This is the first part of the two-part video that demonstrates how to work with an invert binary tree. This clip is from the chapter "Question 7: Invert Binary Tree" of the series "Data Structures and Algorithms: The Complete...
Instructional Video2:35
Curated Video

Data Structures and Algorithms The Complete Masterclass - Insertion Sort Complexity

Higher Ed
This video focuses on insertion sort complexity. This clip is from the chapter "Algorithm: Sorting Elementary" of the series "Data Structures and Algorithms: The Complete Masterclass".This section introduces you to sorting elementary.
Instructional Video7:00
Curated Video

Data Structures and Algorithms The Complete Masterclass - Implementing Selection Sort

Higher Ed
This video explains how to implement selection sort. This clip is from the chapter "Algorithm: Sorting Elementary" of the series "Data Structures and Algorithms: The Complete Masterclass".This section introduces you to sorting elementary.
Instructional Video10:59
Curated Video

Data Structures and Algorithms The Complete Masterclass - Implementing Quicksort

Higher Ed
This video demonstrates how to implement quicksort. This clip is from the chapter "Algorithm: Sorting Advanced" of the series "Data Structures and Algorithms: The Complete Masterclass".This section explains the concept of advanced sorting.
Instructional Video21:51
Curated Video

Data Structures and Algorithms The Complete Masterclass - Implementing Merge Sort

Higher Ed
This video explains how to implement merge sort. This clip is from the chapter "Algorithm: Sorting Advanced" of the series "Data Structures and Algorithms: The Complete Masterclass".This section explains the concept of advanced sorting.
Instructional Video7:43
Curated Video

Data Structures and Algorithms The Complete Masterclass - Implementing Insertion Sort

Higher Ed
This video explains how to implement insertion sort. This clip is from the chapter "Algorithm: Sorting Elementary" of the series "Data Structures and Algorithms: The Complete Masterclass".This section introduces you to sorting elementary.
Instructional Video8:08
Curated Video

Data Structures and Algorithms The Complete Masterclass - Implementing Graph Animation

Higher Ed
This video demonstrates how to implement graph animation. This clip is from the chapter "Algorithms: Graph Traversal" of the series "Data Structures and Algorithms: The Complete Masterclass".This section explains the concept of graph...
Instructional Video8:38
Curated Video

Data Structures and Algorithms The Complete Masterclass - Implementing Depth-first Search - Algorithms: Graph Traversal

Higher Ed
This video demonstrates how to implement depth-first search in graph traversals. This clip is from the chapter "Algorithms: Graph Traversal" of the series "Data Structures and Algorithms: The Complete Masterclass".This section explains...
Instructional Video20:43
Curated Video

Data Structures and Algorithms The Complete Masterclass - Implementing Depth-first Search - Algorithm: Tree Traversals

Higher Ed
This video explains how to implement depth-first search. This clip is from the chapter "Algorithm: Tree Traversals" of the series "Data Structures and Algorithms: The Complete Masterclass".This section explains the concept of tree...
Instructional Video5:57
Curated Video

Data Structures and Algorithms The Complete Masterclass - Implementing Data Structures

Higher Ed
This video demonstrates how to implement data structures. This clip is from the chapter "Implementations and Interview Questions" of the series "Data Structures and Algorithms: The Complete Masterclass".This section focuses on...