Instructional Video7:21
Let's Tute

How to Find all Zeros of Polynomial

9th - Higher Ed
I hope you will enjoy this online video tutorials lecture on Introduction to Polynomial and it will help you in basics of polynomials.
Instructional Video1:43
Brian McLogan

Write the equation of the line given your slope and y intercept

12th - Higher Ed
πŸ‘‰ Learn how to write the equation of a line in a point-slope form. The equation of a line is such that its highest exponent on its variable(s) is 1. (i.e. there are no exponents in its variable(s)). There are various forms which we can...
Instructional Video1:37
Brian McLogan

Tutorial - Detrmining the Leading coefficient and degree of a polynomial with a fraction ex 14

12th - Higher Ed
πŸ‘‰ Learn how to find the degree and the leading coefficient of a polynomial expression. The degree of a polynomial expression is the the highest power (exponent) of the individual terms that make up the polynomial. For terms with more...
Instructional Video1:10
Brian McLogan

Learning to convert between exponential and logarithmic

12th - Higher Ed
πŸ‘‰ Learn how to convert exponential equations to logarithmic equations. The logarithm of a number in a given base is the index/exponent to which the base must be raised to obtain the given number. In other words, log [base a] of x = m...
Instructional Video1:15
Brian McLogan

How to determine the domain of addition of two rational functions

12th - Higher Ed
πŸ‘‰ Learn how to find the domain of rational functions. Recall that the domain of a function is the set of possible input values (x-values) of the function. For a rational function, the denominator cannot be zero. Thus, to find the domain...
Instructional Video4:00
Brian McLogan

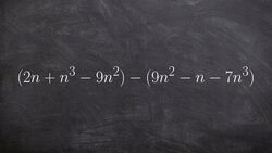
Subtracting two polynomials

12th - Higher Ed
πŸ‘‰ Learn how to subtract polynomials. To subtract polynomials, we first simplify the polynomials by removing all brackets. Then, we combine like terms. Like terms are terms that share the same base and power for each variable. When you...
Instructional Video3:47
Brian McLogan

How To Multiply Polynomials Using Area of a Rectangle - Math Tutorial

12th - Higher Ed
πŸ‘‰ Learn how to multiply polynomials. To multiply polynomials, we use the distributive property. The distributive property is essential for multiplying polynomials. The distributive property is the use of each term of one of the...
Instructional Video1:58
Brian McLogan

Learning How to Apply Distributive Property with Polynomials

12th - Higher Ed
πŸ‘‰ Learn how to multiply polynomials. We apply the distributive property to polynomials by multiplying a monomial to every term in a polynomial. When multiplying monomials it is important that we multiply the coefficients and apply the...
Instructional Video2:48
Brian McLogan

How do you find the degree of a polynomial

12th - Higher Ed
πŸ‘‰ Learn how to find the degree and the leading coefficient of a polynomial expression. The degree of a polynomial expression is the highest power (exponent) of the individual terms that make up the polynomial. For terms with more that...
Instructional Video3:44
Brian McLogan

What are zeros of a polynomial

12th - Higher Ed
πŸ‘‰ Learn about zeros and multiplicity. The zeroes of a polynomial expression are the values of x for which the graph of the function crosses the x-axis. They are the values of the variable for which the polynomial equals 0. The...
Instructional Video3:02
Brian McLogan

Dividing two polynomials using synthetic division

12th - Higher Ed
πŸ‘‰ Learn about dividing by synthetic division. Synthetic division is a method of dividing polynomials by linear expressions. To divide using synthetic division, we equate the divisor to 0 and then solve for the variable, the solution for...
Instructional Video14:56
Brian McLogan

End behavior of polynomial functions

12th - Higher Ed
End behavior of polynomial functions
Instructional Video2:28
Brian McLogan

End behavior of polynomials factored out

12th - Higher Ed
πŸ‘‰ Learn how to determine the end behavior of the graph of a factored polynomial function. To do this we will first need to make sure we have a polynomial in standard form (i.e. we will expand all factored terms) with descending powers....
Instructional Video2:38
Brian McLogan

Transfering from exponential to logarithmic

12th - Higher Ed
πŸ‘‰ Learn how to convert exponential equations to logarithmic equations. The logarithm of a number in a given base is the index/exponent to which the base must be raised to obtain the given number. In other words, log [base a] of x = m...
Instructional Video3:49
Brian McLogan

Learn how to expand a binomial to fourth power by multiplying

12th - Higher Ed
πŸ‘‰ Learn how to expand a binomial using binomial expansion. A binomial expression is an algebraic expression with two terms. When a binomial expression is raised to a positive integer exponent, we usually use the binomial expansion...
Instructional Video1:16
Brian McLogan

converting between logarithmic and exponential

12th - Higher Ed
πŸ‘‰ Learn how to convert logarithmic equations to exponential equations. The logarithm of a number in a given base is the index/exponent to which the base must be raised to obtain the given number. In other words, log [base a] of x = m...
Instructional Video4:24
Brian McLogan

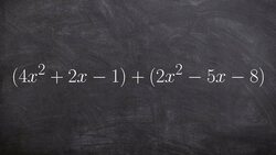
Using operations to simplify polynomials

12th - Higher Ed
πŸ‘‰ Learn how to add and subtract polynomials by either using the vertical or horizontal method.
Instructional Video1:26
Brian McLogan

Learn how to add polynomials

12th - Higher Ed
πŸ‘‰ Learn how to add polynomials. To add polynomials, we first simplify the polynomials by removing all brackets. Then, we combine like terms. Like terms are terms that share the same base and power for each variable. When you have...
Instructional Video2:19
Brian McLogan

Easy method to subtract polynomials by converting to an addition problem

12th - Higher Ed
πŸ‘‰ Learn how to subtract polynomials. To subtract polynomials, we first simplify the polynomials by removing all brackets. Then, we combine like terms. Like terms are terms that share the same base and power for each variable. When you...
Instructional Video1:39
Brian McLogan

What is the definition of a polynomial with examples and non examples

12th - Higher Ed
πŸ‘‰ Learn how to classify polynomials based on the number of terms as well as the leading coefficient and the degree. When we are classifying polynomials by the number of terms we will focus on monomials, binomials, and trinomials, whereas...
Instructional Video2:31
Brian McLogan

Learn How to Factor a Quadratic in Your Head When a is not Equal to One

12th - Higher Ed
πŸ‘‰Learn how to factor quadratics when the coefficient of the term with a squared variable is not 1. To factor an algebraic expression means to break it up into expressions that can be multiplied together to get the original expression. To...
Instructional Video2:22
Brian McLogan

Write the equation of a line given point and slope

12th - Higher Ed
πŸ‘‰ Learn how to write the equation of a line in a point-slope form. The equation of a line is such that its highest exponent on its variable(s) is 1. (i.e. there are no exponents in its variable(s)). There are various forms which we can...
Instructional Video6:35
Let's Tute

Factorization of Polynomials: Using Identities to Simplify Expressions

9th - Higher Ed
This video teaches about the factorization of polynomials using various identities, including the square of a binomial and trinomial, and the cube of a binomial. The video also provides examples of how to use these identities to solve...
Instructional Video1:03:42
Brian McLogan

Characteristics of Polynomials | Polynomials | Pre-Calculus

12th - Higher Ed
In this lesson we explore how to identify the zeros, multiplicity and end behavior of a polynomial when in factored form. We also use this information to sketch the graph of a polynomial.