Instructional Video4:32
Brian McLogan

Graph a line by using the x and y intercepts

12th - Higher Ed
πŸ‘‰ Learn how to graph linear equations written in standard form. When given a linear equation in standard form, to graph the equation, we first rewrite the linear equation in slope intercept form, (i.e. in the form y = mx + c, where m is...
Instructional Video5:26
Brian McLogan

Find the equation of a line given the slope and a point

12th - Higher Ed
πŸ‘‰ Learn how to write the equation of a line in a point-slope form. The equation of a line is such that its highest exponent on its variable(s) is 1. (i.e. there are no exponents in its variable(s)). There are various forms which we can...
Instructional Video3:19
Brian McLogan

Learn how to solve as well as graph a compound inequality with or

12th - Higher Ed
πŸ‘‰ Learn how to solve compound inequalities and graph their solution on a number line. A compound inequality is an inequality having more than 1 inequality sign. To solve compound inequalities, we use inverse operations, applying the...
Instructional Video2:49
Brian McLogan

Finding the x and y intercept and then graph

12th - Higher Ed
πŸ‘‰ Learn how to graph linear equations written in standard form. When given a linear equation in standard form, to graph the equation, we first rewrite the linear equation in slope intercept form, (i.e. in the form y = mx + c, where m is...
Instructional Video8:58
Curated Video

Finding Equations of Straight Lines from Coordinates

Higher Ed
This video is a presentation on how to find the equation of a straight line when given some coordinates. The presenter explains that all straight lines follow the same general equation (Y=MX+C) and defines the values of M as the gradient...
Instructional Video4:44
Brian McLogan

Learn to graph a parabola by completing the square and determine the focus & directrix

12th - Higher Ed
Learn how to graph a parabola in when it is given in general form. To graph a parabola in conic sections we will need to convert the equation from general form to standard form by completing the square. Once it is in standard form we can...
Instructional Video6:26
Brian McLogan

Learn to graph a horizontal parabola

12th - Higher Ed
Learn how to graph a horizontal parabola. A parabola is the shape of the graph of a quadratic equation. A parabola is said to be horizontal if it opens to the left or opens to the right. A horizontal parabola results from a quadratic...
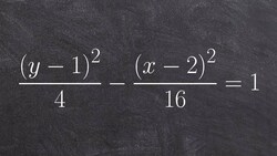
Instructional Video8:54
Brian McLogan

Graph an ellipse with the center at the origin

12th - Higher Ed
Learn how to graph vertical ellipse centered at the origin. A vertical ellipse is an ellipse which major axis is vertical. To graph a vertical ellipse, we first identify some of the properties of the ellipse including the major radius...
Instructional Video3:18
Brian McLogan

Graph the parabola by identifying the focus and vertex

12th - Higher Ed
Learn how to graph a vertical parabola. A parabola is the shape of the graph of a quadratic equation. A parabola is said to be vertical if it opens up or opens down. A vertical parabola results from a quadratic equation in which the x...
Instructional Video3:20
Brian McLogan

Graph the equation of a parabola and determine the focus and directrix

12th - Higher Ed
Learn how to graph a vertical parabola. A parabola is the shape of the graph of a quadratic equation. A parabola is said to be vertical if it opens up or opens down. A vertical parabola results from a quadratic equation in which the x...
Instructional Video5:14
Brian McLogan

Graph a horizontal parabola and identify the focus, vertex and directrix

12th - Higher Ed
Learn how to graph a horizontal parabola. A parabola is the shape of the graph of a quadratic equation. A parabola is said to be horizontal if it opens to the left or opens to the right. A horizontal parabola results from a quadratic...
Instructional Video6:41
Brian McLogan

how to graph a hyperbola conic section

12th - Higher Ed
Learn how to graph hyperbolas. To graph a hyperbola from the equation, we first express the equation in the standard form, that is in the form: (x - h)^2 / a^2 - (y - k)^2 / b^2 = 1 for horizontal hyperbola or (y - k)^2 / a^2 - (x - h)^2...
Instructional Video6:43
Brian McLogan

Graphing a quadratic function in standard form

12th - Higher Ed
πŸ‘‰ Learn how to graph quadratics in standard form. A quadratic equation is an equation whose highest exponent in the variable(s) is 2. To graph a quadratic equation, we make use of a table of values and the fact that the graph of a...
Instructional Video8:54
Brian McLogan

Finding the vertex and zeros of a quadratic function

12th - Higher Ed
πŸ‘‰ Learn how to graph a quadratic equation in standard form. To do this we will explore multiple methods such as the intercept method, identifying the vertex, axis of symmetry and identifying points on the graph using a table. Once you...
Instructional Video7:45
Brian McLogan

How to graph exponential functions

12th - Higher Ed
πŸ‘‰ Learn all about graphing exponential functions. An exponential function is a function whose value increases rapidly. To graph an exponential function, it is usually useful to first graph the parent function (without transformations)....
Instructional Video7:21
Brian McLogan

Finding the domain vertical asymptote and x intercepts of a logarithm

12th - Higher Ed
πŸ‘‰ Learn how to graph logarithmic functions involving vertical shift. The logarithmic function is the inverse of the exponential function. To graph a logarithmic function, it is usually very useful to make the table of values of the...
Instructional Video3:17
Brian McLogan

Graphing logarithmic equations

12th - Higher Ed
πŸ‘‰ Learn how to graph logarithmic functions involving vertical shift. The logarithmic function is the inverse of the exponential function. To graph a logarithmic function, it is usually very useful to make the table of values of the...
Instructional Video1:41
Brian McLogan

Learn How to Graph a Piecewise Function With Two Different Functions

12th - Higher Ed
πŸ‘‰ Learn how to graph piecewise functions. A piecewise function is a function which have more than one sub-functions for different sub-intervals(sub-domains) of the function's domain. To graph a piecewise function, we graph the different...
Instructional Video3:36
Brian McLogan

Learn to graph a vertical parabola and identify the focus and directrix

12th - Higher Ed
Learn how to graph a parabola in standard form when the vertex is not at the origin. We will learn how to graph parabola's with horizontal and vertical openings. In addition to graphing you will also learn how to identify the important...
Instructional Video4:05
Brian McLogan

Why do we need restrictions on inverse trig functions

12th - Higher Ed
πŸ‘‰ Learn how to evaluate inverse trigonometric functions. The inverse trigonometric functions are used to obtain theta, the angle which yielded the trigonometric function value. It is usually helpful to use the calculator to calculate the...
Instructional Video2:14
Brian McLogan

Learn how to evaluate the limits at infinity with asymptotes on a graph

12th - Higher Ed
πŸ‘‰ Learn how to evaluate the limit of a function from the graph of the function. The limit of a function as the input variable of the function tends to a number/value is the number/value which the function approaches at that time. When...
Instructional Video10:23
Brian McLogan

What are the transformations of vertex form of a quadratic compared to standard form

12th - Higher Ed
πŸ‘‰ Learn the basics to understanding graphing quadratics. A quadratic equation is an equation whose highest exponent in the variable(s) is 2. To graph a quadratic equation, we make use of a table of values and the fact that the graph of a...
Instructional Video6:36
Brian McLogan

Solving a system of equations by using the substitution method

12th - Higher Ed
πŸ‘‰Learn how to solve a system of equations by substitution. To solve a system of equations means to obtain a common values of the variables that makes the each of the equation in the system true. To solve a system of equations by...
Instructional Video3:45
Brian McLogan

How to graph and shade a system of linear inequalities

12th - Higher Ed
πŸ‘‰ Learn how to graph a system of inequalities. A system of inequalities is a set of inequalities which are collectively satisfied by a certain range of values for the variables. To graph a system of inequalities, each inequality making...