Instructional Video5:37
Brian McLogan

Using the rules of exponents to help us multiply and simplify two rational expressions

12th - Higher Ed
πŸ‘‰ Learn how to simplify expressions by multiplying its terms. When multiplying expressions, each individual term of the expression is multiplied to its like term and the exponents are evaluated using the product rule, the quotient rule...
Instructional Video1:00
Brian McLogan

Learn how to use the power to product rule with a fraction

12th - Higher Ed
πŸ‘‰ Learn how to apply the rules of exponents to simplify an expression. We will focus on applying the product rule, quotient rule as well as power rule. We will then explore multiple properties such as power to product, power to quotient...
Instructional Video2:46
Brian McLogan

Divide two rational expressions when using the rules of exponents

12th - Higher Ed
πŸ‘‰ Learn how to simplify expressions by dividing its terms. Remember that dividing a fraction is the same as multiplying by the reciprocal. When multiplying expressions, each individual term of the expression is multiplied to its like...
Instructional Video6:54
Brian McLogan

Factoring practice - Learn how to factor - Step by step math instruction

12th - Higher Ed
πŸ‘‰Learn how to factor quadratics when the coefficient of the term with a squared variable is not 1. To factor an algebraic expression means to break it up into expressions that can be multiplied together to get the original expression. To...
Instructional Video2:03
Brian McLogan

How to solve a quadratic equation by using the square root method with irrational solutions

12th - Higher Ed
πŸ‘‰Learn how to solve quadratic equations using the square root method. It is important to understand that not all quadratics have to be solved using factoring or quadratic formula. When we only have one variable but it is squared we can...
Instructional Video5:27
Brian McLogan

Learn how to solve a two step inequality with a fraction

12th - Higher Ed
πŸ‘‰ Learn how to solve two-step linear inequalities and graph their solution. When solving two step inequalities we will use inverse operations, reverse order of operations and the properties of equality to solve. We will then graph our...
Instructional Video5:47
Brian McLogan

Graphing an or compound inequality and showing the graph of the solution

12th - Higher Ed
πŸ‘‰ Learn how to solve compound inequalities and graph their solution on a number line. A compound inequality is an inequality having more than 1 inequality sign. To solve compound inequalities, we use inverse operations, applying the...
Instructional Video3:19
Brian McLogan

Solving a proportion using two step method

12th - Higher Ed
πŸ‘‰ Learn how to solve proportions. Two ratios are said to be proportional when the two ratios are equal. Thus, proportion problems are problems involving the equality of two ratios. When given a proportion problem with an unknown, we...
Instructional Video3:31
Brian McLogan

Solving a one step inequality

12th - Higher Ed
πŸ‘‰ Learn how to solve one step inequalities. When solving one step inequalities we will use inverse operations to isolate the variable. To represent our solution we will graph on the number line and use open and closed points based on the...
Instructional Video2:40
Brian McLogan

How to solve a proportion with a variable on both sides

12th - Higher Ed
πŸ‘‰ Learn how to solve proportions. Two ratios are said to be proportional when the two ratios are equal. Thus, proportion problems are problems involving the equality of two ratios. When given a proportion problem with an unknown, we...
Instructional Video5:34
Brian McLogan

Solving a linear inequality with fractions

12th - Higher Ed
πŸ‘‰ Learn how to solve multi-step linear inequalities having no parenthesis. An inequality is a statement in which one value is not equal to the other value. An inequality is linear when the highest exponent in its variable(s) is 1. (i.e....
Instructional Video19:39
Brian McLogan

MASTER How to graph a quadratic in standard form using the formula for axis of symmetry and vertex

12th - Higher Ed
Welcome, ladies and gentlemen. So what I'd like to do is show you how to graph a quadratic using the equation for a vertex as well as axis of symmetry. Now, I have two functions and I have two equations, and they're basically going to be...
Instructional Video3:28
Brian McLogan

Using the sum of two cubes with a fraction

12th - Higher Ed
πŸ‘‰ Learn how to factor polynomials using the sum or difference of two cubes. A polynomial is an expression of the form ax^n + bx^(n-1) + . . . + k, where a, b, and k are constants and the exponents are positive integers. To factor an...
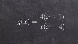
Instructional Video4:50
Brian McLogan

Determine the x and y intercept of a rational function

12th - Higher Ed
πŸ‘‰ Learn how to find the x and y-intercepts of a rational function. The x-intercept(s) of a function occurs when y = 0 and the y-intercept(s) of a function occurs when x = 0. To find the y-intercept of a function, we plug in zero for x...
Instructional Video3:03
Brian McLogan

Dividing rational expressions

12th - Higher Ed
Learn how to divide rational expressions. A rational expression is an expression in the form of a fraction, usually having variable(s) in the denominator. Recall that to divide by a fraction, we multiply by the reciprocal of the...
Instructional Video2:23
Brian McLogan

Multiplying rational expressions

12th - Higher Ed
Learn how to multiply rational expressions. A rational expression is an expression in the form of a fraction where the numerator and/or the denominator are/is an algebraic expression. To multiply two rational expressions, we use the...
Instructional Video6:50
Brian McLogan

Find the solution to a rational equations and label extraneous solutions

12th - Higher Ed
πŸ‘‰ Learn how to solve rational equations. A rational expression is an expression in the form of a fraction where the numerator and/or the denominator are/is an algebraic expression. There are many ways to solve rational expressions, one...
Instructional Video2:19
Brian McLogan

How to divide two fractions

12th - Higher Ed
πŸ‘‰ Learn how to divide fractions. To divide two fractions, we multiply the first fraction by the reciprocal of the second fraction. (The reciprocal of a fraction is swapping the positions of the numerator and the denominator). It is...
Instructional Video2:19
Brian McLogan

Algebra 2 - Simplifying the division of a real number by the imaginary unit i, -17/i

12th - Higher Ed
In this video playlist you will learn how to simplify complex numbers under a radical as well as raised to a higher power. You will learn to add, subtract, multiply and divide complex numbers to write in simplified standard form. When...
Instructional Video7:00
Curated Video

GCSE Secondary Maths Age 13-17 - Algebra: Algebra - Advanced - Explained

9th - 12th
SchoolOnline's Secondary Maths videos are brilliant, bite-size tutorial videos delivered by examiners. Ideal for ages 13-17, they cover every key topic and sub topic covered in GCSE Maths in clear and easy to follow steps. This video...
Instructional Video1:23
Curated Video

KS2 Primary Maths Age 13-17 - Fractions, Decimals and Percentages: Adding and Subtracting Fractions - Explained

3rd - 5th
SchoolOnline's Primary Maths videos are brilliant, bite-size tutorial videos delivered by examiners. Ideal for ages 9-13, they cover every key topic and sub topic covered in Maths in clear and easy to follow steps. This video looks at...
Instructional Video5:19
Curated Video

Identifying Fractions Equal to 1 Whole

K - 5th
In this lesson, students learn how to identify fractions that are equal to 1 whole and determine the number of fractional pieces needed to make 1 whole. They explore visual fraction models and understand that the numerator and...
Instructional Video4:47
Curated Video

Representing Fractions as Sums of Unit Fractions Using Pictures

K - 5th
In this video, students will learn how to break down fractions into smaller unit fractions using visual representations. The teacher explains the parts of a fraction, including the numerator and denominator, and demonstrates how to...
Instructional Video3:40
Curated Video

Multiplying Whole Numbers by Fractions Using Area Models

K - 5th
This video explains how to multiply a whole number by a fraction using area models. It clarifies the concept of repeated addition and demonstrates how to correctly model the multiplication of fractions and whole numbers.