Instructional Video8:25
Math Fortress

Differential Equations: Families of Solutions (Level 2 of 4)

12th - Higher Ed
This video introduces the basic concepts associated with solutions of ordinary differential equations. This video goes over 3 examples illustrating how to verify general solutions of ordinary differential equations.
Instructional Video3:53
Curated Video

Word Problem Solving with Models

K - 5th
In this video lesson, students learn how to solve word problems by creating a model. The teacher demonstrates how to represent the number of children in a pool using blocks, and then adds more blocks to represent additional children...
Instructional Video10:31
Curated Video

Understanding Strategic Interactions between Economic Agents

12th - Higher Ed
The video explains the economic applications of game theory and how it can help us understand the interactions between economic agents such as countries, firms, and producers. The concepts of game theory, players, rules, outcomes, and...
Instructional Video4:41
Curated Video

Solving Equations with Infinite Solutions

K - 5th
In this video, the teacher explains how to solve equations with infinite solutions using inverse operations. They provide examples of equations with one solution, no solution, and infinite solutions, and demonstrate the steps to solve...
Instructional Video1:52
Brian McLogan

Solve the general solution for differentiable equation with trig

12th - Higher Ed
Learn how to solve the particular solution of differential equations. A differential equation is an equation that relates a function with its derivatives. The solution to a differential equation involves two parts: the general solution...
Instructional Video5:01
Curated Video

Solving Systems of Equations by Elimination

K - 5th
In this video lesson, students will learn how to solve systems of equations using the elimination method. The lesson explains the concept of systems of equations and the importance of finding exact solutions. It demonstrates how to...
Instructional Video3:56
Curated Video

Adding Equations in a System: Commonalities in Tables and Graphs

K - 5th
In this lesson, students will learn what happens when equations in a system are added together. By observing tables of values and graphs, they will understand that adding two linear equations creates a new system with the same solution...
Instructional Video1:53
Instructional Video12:19
Curated Video

Game Theory: An Introduction to Payoff Matrices and the Prisoner's Dilemma Game

12th - Higher Ed
The video describes the basic concepts of game theory and uses the example of the prisoner's dilemma game to explain the Nash equilibrium. The video also discusses the use of the payoff matrix as a tool for analyzing outcomes within a...
Instructional Video5:02
Curated Video

Understanding Quadratic Roots: Analyzing the Discriminant

K - 5th
In this video, the teacher explains how to determine the nature of the roots of a quadratic equation by examining the discriminant. The discriminant is the part under the square root in the quadratic formula, and its value can indicate...
Instructional Video5:27
Curated Video

Multiple Solution Techniques for Linear Equations and Inequalities

K - 5th
This video emphasizes that there are multiple ways to solve linear equations and inequalities. It showcases different solution techniques such as applying the distributive property, using division, rearranging variables, finding common...
Instructional Video3:38
Brian McLogan

How to sketch the particular equation from the slope field

12th - Higher Ed
Learn how to create slope fields and sketch the particular solution to a differential equation. Slope fields are tools used to graphically obtain the solutions to a differential equation. It is the estimation of the graphical...
Instructional Video7:27
Brian McLogan

Find the particular solution with exponential and inverse trig

12th - Higher Ed
Learn how to solve the particular solution of differential equations. A differential equation is an equation that relates a function with its derivatives. The solution to a differential equation involves two parts: the general solution...
Instructional Video1:45
Visual Learning Systems

Solutions at Work: Video Assessment

9th - 12th
Upon viewing the Solutions at Work video series, students will be able to do the following: Explain that a solution is a type of mixture made of two or more substances that are evenly distributed. Provide an example of a common solution....
Instructional Video5:16
Curated Video

Testing Solutions to Systems of Equations

K - 5th
In this video, the teacher explains how to determine if a pair of numbers is a solution to a system of linear equations. By systematically testing values, the teacher demonstrates how to find the values of X and Y that satisfy both...
Instructional Video4:28
Curated Video

Interpreting Solutions to Equations and Inequalities

K - 5th
In this video lesson, students will learn how to interpret solutions to equations and inequalities. They will understand the meaning of the equal sign and how it represents the same value on both sides of the equation. They will also...
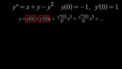
Instructional Video11:24
Zach Star

Dear Calculus 2 Students, This is why you're learning Taylor Series

12th - Higher Ed
Dear Calculus 2 Students, This is why you're learning Taylor Series
Instructional Video4:42
Curated Video

Solving Linear Equations with Rational Numbers: Examples with Integers

K - 5th
In this lesson, students will learn how to solve linear equations with rational numbers by using examples with integers. They will understand that equations can have different numbers of solutions and will be able to identify whether an...
Instructional Video2:03
Brian McLogan

How to determine the general solution to a differential equation

12th - Higher Ed
Learn how to solve the particular solution of differential equations. A differential equation is an equation that relates a function with its derivatives. The solution to a differential equation involves two parts: the general solution...
Instructional Video13:30
APMonitor

Solve Nonlinear Equations with Microsoft Excel

10th - Higher Ed
The GRG (Generalized Reduced Gradient) solver in Excel can be used to solve sets of nonlinear equations. The nonlinear functions are input as cells and equation residuals are minimized. Functions can either be included as equality...
Instructional Video4:14
Curated Video

Identifying Systems of Equations with No Solutions

K - 5th
In this lesson, students will learn how to identify systems of equations with no solutions. They will understand that a system of equations is when two or more equations have the same variables and values. Through graphical and algebraic...
Instructional Video0:51
Next Animation Studio

Carbon capture system turns CO2 into usable electricity and hydrogen fuel

12th - Higher Ed
Scientists have developed a new carbon capture system that absorbs CO2 and produces useable electricity and hydrogen fuel.
Instructional Video4:37
Curated Video

Finding the X Coordinate of the Intersection of Two Equations

K - 5th
In this video, the teacher explains how to find the X coordinate of the point of intersection of two equations without graphing or making a chart. They review slope intercept form and explain how to determine the slope and Y intercept....
Instructional Video4:03
Curated Video

The Consequences of Osmosis

Higher Ed
The video is a lecture presentation discussing the consequences of osmosis. The presenter explains what osmosis is and how it works, with a focus on the movement of water molecules through partially permeable membranes. They also explain...