Unknown Type
University of Saskatchewan (Canada)

University of Saskatchewan: Algebra 1 Review

For Students 9th - 10th Standards
A more advanced review of algebra concepts and practice review problems ranging from the basic rules of algebra to polynomials. A good test of readiness for higher level math courses.
Interactive
Doina Popovici

Math Play: Prime Factorization Game

For Students 4th - 6th Standards
Students can practice factorization in this online game.
Interactive
Doina Popovici

Math Play: Prime Factorization Game

For Students 5th - 7th
Students can practice prime factorization in this online game that can be played individually or in teams.
Interactive
Calculator Soup

Calculator Soup: Factoring Calculator

For Students 9th - 10th
The factoring calculator finds the factors and factor pairs of a positive or negative number. Enter an integer number to find its factors.
Website
Shmoop University

Shmoop: Basic Operations: Prime Factorization

For Students 3rd - 8th Standards
Students learn about prime factorization. The resource consists of notes, step-by-step examples, and practice problems with solutions.
Interactive
Calculator Soup

Calculator Soup: Prime Factorization Calculator

For Students 9th - 10th
Use this prime numbers calculator to find all prime factors of a given integer number up to 1 trillion. This calculator presents prime factors of a number, prime decomposition in exponential form, CSV (comma separated values) list of...
Activity
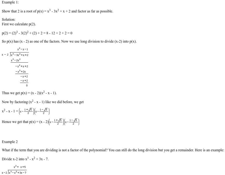
University of Saskatchewan (Canada)

University of Saskatchewan: Factoring Polynomials Given One Root

For Students 9th - 10th
Contains a few example problems on factoring polynomials with a given root.
Unknown Type
Math Aids

Math Aids: Factors Worksheets

For Students K - 1st
Great resource for learning and practicing fractions and their different operations. Math worksheets are printable, may be customized, and include answer keys.
Activity
Other

Dan's Math: Basic Skills Topics

For Students 9th - 10th Standards
College professor Dan Bach offers a review of various basic topics in arithmetic, pre-algebra, and algebra. Order of operations, exponents, square roots, variables, and combining terms are just a few of the many topics covered.
Activity
Wyzant

Wyzant: Factoring Completely

For Students 9th - 10th Standards
Learners complete a worksheet on factoring expressions. An example problem and answer sheet is included.
Activity
Wyzant

Wyzant: Solve by Factoring Worksheet

For Students 9th - 10th
Learners complete a worksheet on solving equations by factoring. An example problem and answer sheet is included.
Activity
Interactive Mathematics

Interactive Mathematics: Factoring and Fractions

For Students 9th - 10th Standards
Polynomials are the focus of these lessons, concentrating on factoring and special products to work with rational expressions. Interactive tools of Live Math and Scientific Notebook are used to provide animated solutions to the examples....
Activity
Free Math Help

Free Math Help: Factoring Numbers

For Students 9th - 10th Standards
Learners examine how to factor a number. The lesson teaches students about the basic ideas of factoring. The resource includes detailed explanations and a message board to post additional questions.
Activity
Wyzant

Wyzant: Factoring a Gcf From an Expression

For Students 9th - 10th Standards
The tutorial explains how to factor a greatest common factor from an expression. The resource includes a lesson with examples, practice problems, and an expression-factoring calculator.
Activity
Other

Interactive Algebra: Factoring, Lesson 2 1

For Students 9th - 10th
An interactive solver allows you to factor quadratic polynomials. The solver provides hints to help you factor before seeing the answer. Note: These quadratics have a leading coefficient of 1.
Website
Wyzant

Wyzant: Factoring Numbers

For Students 3rd - 8th
Never quite understood factors? This site explains it all. Review what a factor is and how to find it.
Activity
National Council of Teachers of Mathematics

The Math Forum: Finding the Greatest Common Factor of Two Numbers

For Students 9th - 10th
Math Forum response to question about finding the greatest common factor by using the factoring tree method.
Unit Plan
Homeschool Math

Homeschool Math: Prime Factorization of Three Digit Numbers

For Teachers 5th
This lesson shows examples of how to get started with the prime factorization of three-digit or larger numbers, using a factor tree. includes numerous practice exercises.
Activity
Math Is Fun

Math Is Fun: Factoring Quadratics

For Students 9th - 10th Standards
The tutorial examines how to factor quadratics. The resource consists of detailed examples and explanations about the algebra concept.
Activity
Math Is Fun

Math Is Fun: Algebra

For Students 9th - 10th Standards
Through this collection of definitions, lessons, problem-solving steps and strategies, and example questions, you'll learn why completing an algebra problem is a lot like solving a puzzle. After viewing introductory material and basic...
Unit Plan
Oswego City School District

Regents Exam Prep Center: Quadratic Equations

For Students 9th - 10th
Includes lesson, practice exercise, and teacher resource on how to factor quadratic equations. You'll find examples for using the factoring and graphing methods for solving, a twelve-question quiz with hints and answers, and a suggested...
eBook
Math Planet

Math Planet: Factorization and Prime Numbers

For Students 6th - 8th
Gain an understanding of how to factor prime numbers by viewing examples and a video lesson.
Interactive
National Council of Teachers of Mathematics

Nctm: Illuminations: Algebra Tiles

For Students 9th - 10th Standards
This resource is about factoring linear and quadratic expressions in one variable, evaluating them at a given value of the variable, multiplying factors to find the expanded form of the expression, and solving linear and quadratic...
Unit Plan
Sophia Learning

Sophia: Simplifying Rational Expressions: It's Simple

For Students 9th - 10th Standards
Learn to simplify rational expressions using factoring. Includes a short video [1:37] and a practice problem in a slideshow.

Other popular searches