Lesson Planet
Search educational resources
  • Sign In Try It Free
  • AI Teacher Tools
    • Discover Resources Search reviewed educational resources by keyword, subject, grade, type, and more
    • Curriculum Manager (My Content) Manage saved and uploaded resources and folders To Access the Curriculum Manager Sign In or Join Now
    • Browse Resource Directory Browse educational resources by subject and topic
    • Curriculum Calendar Explore curriculum resources by date
    • Lesson Planning Articles Timely and inspiring teaching ideas that you can apply in your classroom
    • Our Story
    • Frequently Asked Questions
    • Testimonials
    • Contact Us
  • Pricing
  • School Access
    • Your school or district can sign up for Lesson Planet — with no cost to teachers
      Learn More
  • Sign In
  • Try It Free
Abigail and John in Love Lesson PlanAbigail and John in Love Lesson Plan
Publisher
Curated OER
Resource Details
Curator Rating
Educator Rating
Not yet Rated
Grade
9th - 12th
Subjects
English Language Arts
4 more...
Resource Type
Lesson Plans
Audience
For Teacher Use
Duration
45 mins
Instructional Strategies
Collaborative Learning
4 more...
Usage Permissions
Fine Print: Educational Use
Lesson Plan

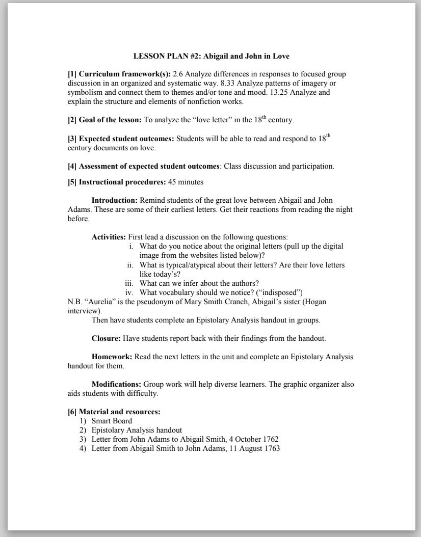
Abigail and John in Love

Curated and Reviewed by Lesson Planet
This Abigail and John in Love lesson plan also includes:
  • Abigail Adams, the Writer: “My pen is always freer than my tongue.”
  • Complete Unit (.pdf)
  • Activity
  • Graphic Organizer
  • Primary Source
  • Join to access all included materials

The second activity in the series asks groups to analyze an exchange of love letters between Abigail and John Adams. Scholars identify the many allusions and references in the letters and consider what they can infer about the writers.

5 Views 2 Downloads
CCSS: Adaptable

Concepts

abigail adams, john adams, primary source analysis, primary sources, symbolism, tone, imagery, nonfiction, friendly letters, famous women, women's history, women's history month, making inferences, critical reading, critical thinking, allusions, metaphors, similes, figures of speech, diction

Instructional Ideas

  • Have groups identify and research the many references and allusions in the exchanged letters
  • Ask class members to make copies of the Epistolary Analysis handout for future lessons

Classroom Considerations

  • The second lesson in a series of 16 designed to be conducted in order
  • The academic language makes the series most appropriate for advanced high school history and Language Arts classes or higher ed
  • Requires copies

Pros

  • Includes a list of questions instructors can use for the discussion

Cons

  • None

Common Core

L.9-10.5.a L.11-12.5.a RH.9-10.1 RH.9-10.2 RH.11-12.1 RH.11-12.2

View 45,552 other resources for 9th - 12th Grade English Language Arts

© 1999-2026 Learning Explorer, Inc.
Teacher Lesson Plans, Worksheets and Resources

Sign up for the Lesson Planet Monthly Newsletter

Open Educational Resources (OER)

  • Health
  • Language Arts
  • Languages
  • Math
  • Physical Education
  • Science
  • Social Studies
  • Special Education
  • Visual and Performing Arts
View All Lesson Plans

Discover Resources

  • Our Review Process
  • How it Works
  • How to Search
  • Create a Collection

Manage Curriculum

  • Edit a Collection
  • Assign to Students
  • Manage My Content
Contact Us Site Map Privacy Policy Terms of Use