Lesson Planet
Search educational resources
  • Sign In Try It Free
  • AI Teacher Tools
    • Discover Resources Search reviewed educational resources by keyword, subject, grade, type, and more
    • Curriculum Manager (My Content) Manage saved and uploaded resources and folders To Access the Curriculum Manager Sign In or Join Now
    • Browse Resource Directory Browse educational resources by subject and topic
    • Curriculum Calendar Explore curriculum resources by date
    • Lesson Planning Articles Timely and inspiring teaching ideas that you can apply in your classroom
    • Our Story
    • Frequently Asked Questions
    • Testimonials
    • Contact Us
  • Pricing
  • School Access
    • Your school or district can sign up for Lesson Planet — with no cost to teachers
      Learn More
  • Sign In
  • Try It Free
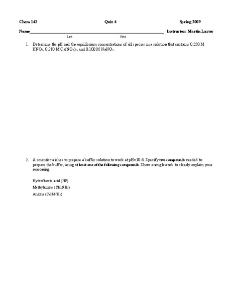
Acids and Bases Worksheet WorksheetAcids and Bases Worksheet Worksheet
Publisher
Curated OER
Curator Rating
Educator Rating
Not yet Rated
Worksheet

Acids and Bases Worksheet

Curated and Reviewed by Lesson Planet

In this acid and base learning exercise, learners solve three problems. They calculate pH and equilibrium concentrations, they determine what is needed to prepare a proper buffer solution and they answer questions about a titration.

11 Views 16 Downloads
Concepts

buffers, ph, titration

Additional Tags

buffers, p h, titration, science
Show More Show Less

Resource Details

Grade
10th - Higher Ed
Subjects
Science
1 more...
Resource Types
Worksheets
2 more...
Audiences
For Teacher Use
1 more...

View 65,448 other resources for 10th - Higher Ed Grade Science

© 1999-2026 Learning Explorer, Inc.
Teacher Lesson Plans, Worksheets and Resources

Sign up for the Lesson Planet Monthly Newsletter

Open Educational Resources (OER)

  • Health
  • Language Arts
  • Languages
  • Math
  • Physical Education
  • Science
  • Social Studies
  • Special Education
  • Visual and Performing Arts
View All Lesson Plans

Discover Resources

  • Our Review Process
  • How it Works
  • How to Search
  • Create a Collection

Manage Curriculum

  • Edit a Collection
  • Assign to Students
  • Manage My Content
Contact Us Site Map Privacy Policy Terms of Use