Lesson Planet
Search educational resources
  • Sign In Try It Free
  • AI Teacher Tools
    • Discover Resources Search reviewed educational resources by keyword, subject, grade, type, and more
    • Curriculum Manager (My Content) Manage saved and uploaded resources and folders To Access the Curriculum Manager Sign In or Join Now
    • Browse Resource Directory Browse educational resources by subject and topic
    • Curriculum Calendar Explore curriculum resources by date
    • Lesson Planning Articles Timely and inspiring teaching ideas that you can apply in your classroom
    • Our Story
    • Frequently Asked Questions
    • Testimonials
    • Contact Us
  • Pricing
  • School Access
    • Your school or district can sign up for Lesson Planet — with no cost to teachers
      Learn More
  • Sign In
  • Try It Free
Integrals WorksheetIntegrals Worksheet
Publisher
Curated OER
Curator Rating
Educator Rating
Not yet Rated
Worksheet

Integrals

Curated and Reviewed by Lesson Planet
This Integrals worksheet also includes:
  • Answer Key
  • Join to access all included materials

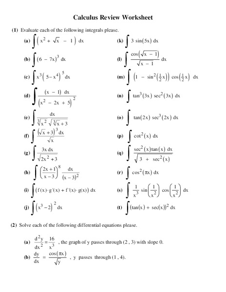
In this integrals worksheet, students solve and complete 22 different types of problems. First, they evaluate each of the listed integrals provided on the sheet. Then, students solve each of the differential equations. They also graph a point that passes through with a given slope.

3 Views 4 Downloads
Concepts

integrals, slope, y-intercepts, intercepts

Additional Tags

integrals, slope, y intercept, math
Show More Show Less

Resource Details

Grade
12th - Higher Ed
Subjects
Math
2 more...
Resource Types
Worksheets
4 more...
Audiences
For Teacher Use
1 more...

View 10,830 other resources for 12th - Higher Ed Grade Math

© 1999-2026 Learning Explorer, Inc.
Teacher Lesson Plans, Worksheets and Resources

Sign up for the Lesson Planet Monthly Newsletter

Open Educational Resources (OER)

  • Health
  • Language Arts
  • Languages
  • Math
  • Physical Education
  • Science
  • Social Studies
  • Special Education
  • Visual and Performing Arts
View All Lesson Plans

Discover Resources

  • Our Review Process
  • How it Works
  • How to Search
  • Create a Collection

Manage Curriculum

  • Edit a Collection
  • Assign to Students
  • Manage My Content
Contact Us Site Map Privacy Policy Terms of Use