Lesson Planet
Search educational resources
  • Sign In Try It Free
  • AI Teacher Tools
    • Discover Resources Search reviewed educational resources by keyword, subject, grade, type, and more
    • Curriculum Manager (My Content) Manage saved and uploaded resources and folders To Access the Curriculum Manager Sign In or Join Now
    • Browse Resource Directory Browse educational resources by subject and topic
    • Curriculum Calendar Explore curriculum resources by date
    • Lesson Planning Articles Timely and inspiring teaching ideas that you can apply in your classroom
    • Our Story
    • Frequently Asked Questions
    • Testimonials
    • Contact Us
  • Pricing
  • School Access
    • Your school or district can sign up for Lesson Planet — with no cost to teachers
      Learn More
  • Sign In
  • Try It Free
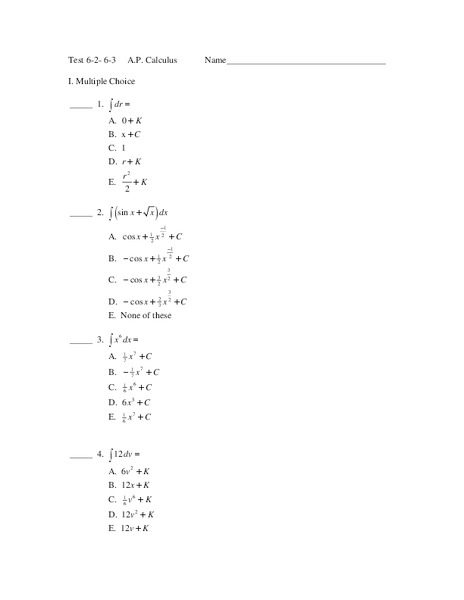
Integrals Involving Trig. Functions WorksheetIntegrals Involving Trig. Functions Worksheet
Publisher
Curated OER
Curator Rating
Educator Rating
Not yet Rated
Worksheet

Integrals Involving Trig. Functions

Curated and Reviewed by Lesson Planet

For this calculus worksheet, student evaluate twenty-one integrals.  This worksheet is designed as a test with multiple-choice as well as free response problems. 

3 Views 0 Downloads
Concepts

integrals

Additional Tags

integrals, trig integrals, math
Show More Show Less

Resource Details

Grade
12th - Higher Ed
Subjects
Math
1 more...
Resource Types
Worksheets
2 more...
Audiences
For Teacher Use
1 more...
Usage Permissions
Fine Print

View 1,930 other resources for 12th - Higher Ed Grade Calculus

© 1999-2026 Learning Explorer, Inc.
Teacher Lesson Plans, Worksheets and Resources

Sign up for the Lesson Planet Monthly Newsletter

Open Educational Resources (OER)

  • Health
  • Language Arts
  • Languages
  • Math
  • Physical Education
  • Science
  • Social Studies
  • Special Education
  • Visual and Performing Arts
View All Lesson Plans

Discover Resources

  • Our Review Process
  • How it Works
  • How to Search
  • Create a Collection

Manage Curriculum

  • Edit a Collection
  • Assign to Students
  • Manage My Content
Contact Us Site Map Privacy Policy Terms of Use