Lesson Planet
Search educational resources
  • Sign In Try It Free
  • AI Teacher Tools
    • Discover Resources Search reviewed educational resources by keyword, subject, grade, type, and more
    • Curriculum Manager (My Content) Manage saved and uploaded resources and folders To Access the Curriculum Manager Sign In or Join Now
    • Browse Resource Directory Browse educational resources by subject and topic
    • Curriculum Calendar Explore curriculum resources by date
    • Lesson Planning Articles Timely and inspiring teaching ideas that you can apply in your classroom
    • Our Story
    • Frequently Asked Questions
    • Testimonials
    • Contact Us
  • Pricing
  • School Access
    • Your school or district can sign up for Lesson Planet — with no cost to teachers
      Learn More
  • Sign In
  • Try It Free
Rational Expressions WorksheetRational Expressions Worksheet
Publisher
Curated OER
Curator Rating
Educator Rating
Not yet Rated
Worksheet

Rational Expressions

Curated and Reviewed by Lesson Planet

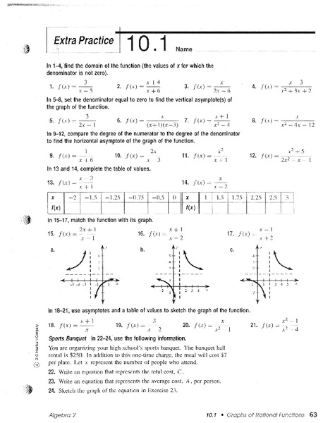
In this algebra worksheet, learners factor rational expressions. They identify the domain and range of each function. There are 47 questions.

3 Views 1 Download

Additional Tags

rational expressions and operations, math
Show More Show Less

Resource Details

Grade
9th - 11th
Subjects
Math
3 more...
Resource Types
Worksheets
2 more...
Audiences
For Teacher Use
1 more...

View 12,304 other resources for 9th - 11th Grade Algebra I

© 1999-2026 Learning Explorer, Inc.
Teacher Lesson Plans, Worksheets and Resources

Sign up for the Lesson Planet Monthly Newsletter

Open Educational Resources (OER)

  • Health
  • Language Arts
  • Languages
  • Math
  • Physical Education
  • Science
  • Social Studies
  • Special Education
  • Visual and Performing Arts
View All Lesson Plans

Discover Resources

  • Our Review Process
  • How it Works
  • How to Search
  • Create a Collection

Manage Curriculum

  • Edit a Collection
  • Assign to Students
  • Manage My Content
Contact Us Site Map Privacy Policy Terms of Use