Lesson Planet
Search educational resources
  • Sign In Try It Free
  • AI Teacher Tools
    • Discover Resources Search reviewed educational resources by keyword, subject, grade, type, and more
    • Curriculum Manager (My Content) Manage saved and uploaded resources and folders To Access the Curriculum Manager Sign In or Join Now
    • Browse Resource Directory Browse educational resources by subject and topic
    • Curriculum Calendar Explore curriculum resources by date
    • Lesson Planning Articles Timely and inspiring teaching ideas that you can apply in your classroom
    • Our Story
    • Frequently Asked Questions
    • Testimonials
    • Contact Us
  • Pricing
  • School Access
    • Your school or district can sign up for Lesson Planet — with no cost to teachers
      Learn More
  • Sign In
  • Try It Free
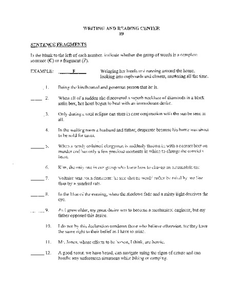
Sentence Fragments WorksheetSentence Fragments Worksheet
Publisher
Curated OER
Curator Rating
Educator Rating
Not yet Rated
Worksheet

Sentence Fragments

Curated and Reviewed by Lesson Planet
This Sentence Fragments worksheet also includes:
  • Activity
  • Join to access all included materials

Tired of reading fragments in your pupils' writing? Assign the activity here to clarify the difference between a sentence and a fragment. Enrich the exercise with information about subject and verb and some more examples of fragments and sentences.

18 Views 22 Downloads
Concepts

sentence fragments, sentence structure

Additional Tags

Grammar, sentence structure, sentence fragment, subject and verb, english language arts
Show More Show Less

Resource Details

Grade
7th - 12th
Subjects
English Language Arts
2 more...
Resource Types
Worksheets
1 more...
Audiences
For Teacher Use
1 more...
Instructional Strategy
Skills Practice

View 61,057 other resources for 7th - 12th Grade English Language Arts

© 1999-2026 Learning Explorer, Inc.
Teacher Lesson Plans, Worksheets and Resources

Sign up for the Lesson Planet Monthly Newsletter

Open Educational Resources (OER)

  • Health
  • Language Arts
  • Languages
  • Math
  • Physical Education
  • Science
  • Social Studies
  • Special Education
  • Visual and Performing Arts
View All Lesson Plans

Discover Resources

  • Our Review Process
  • How it Works
  • How to Search
  • Create a Collection

Manage Curriculum

  • Edit a Collection
  • Assign to Students
  • Manage My Content
Contact Us Site Map Privacy Policy Terms of Use