Lesson Planet
Search educational resources
  • Sign In Try It Free
  • AI Teacher Tools
    • Discover Resources Search reviewed educational resources by keyword, subject, grade, type, and more
    • Curriculum Manager (My Content) Manage saved and uploaded resources and folders To Access the Curriculum Manager Sign In or Join Now
    • Browse Resource Directory Browse educational resources by subject and topic
    • Curriculum Calendar Explore curriculum resources by date
    • Lesson Planning Articles Timely and inspiring teaching ideas that you can apply in your classroom
    • Our Story
    • Frequently Asked Questions
    • Testimonials
    • Contact Us
  • Pricing
  • School Access
    • Your school or district can sign up for Lesson Planet — with no cost to teachers
      Learn More
  • Sign In
  • Try It Free
The Constitution. Lesson PlanThe Constitution. Lesson Plan
Publisher
Curated OER
Curator Rating
Educator Rating
Not yet Rated
Lesson Plan

The Constitution.

Curated and Reviewed by Lesson Planet

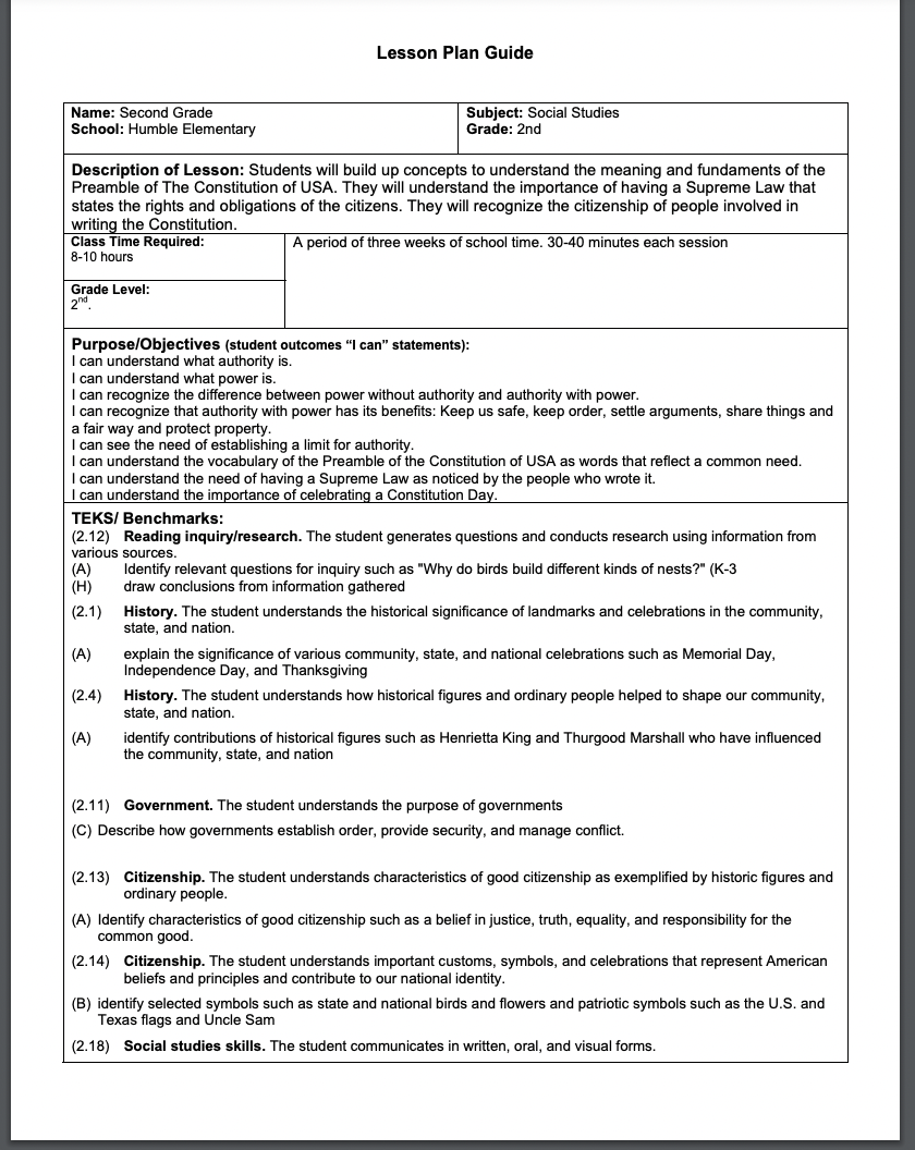
Second graders study the Constitution. They examine the meaning and fundamentals of the Preamble of The Constitution of USA. They assess the importance of having a Supreme Law that states the rights and obligations of the citizens. They survey the citizenship of people involved in writing the Constitution.

69 Views 112 Downloads
Concepts

the preamble to the united states constitution, the united states constitution

Additional Tags

preamble of the constitution, social studies
Show More Show Less

Resource Details

Grade
2nd
Subjects
Social Studies & History
2 more...
Resource Type
Lesson Plans
Audience
For Teacher Use
Instructional Strategy
Research

View 6,706 other resources for 2nd Grade Social Studies & History

© 1999-2026 Learning Explorer, Inc.
Teacher Lesson Plans, Worksheets and Resources

Sign up for the Lesson Planet Monthly Newsletter

Open Educational Resources (OER)

  • Health
  • Language Arts
  • Languages
  • Math
  • Physical Education
  • Science
  • Social Studies
  • Special Education
  • Visual and Performing Arts
View All Lesson Plans

Discover Resources

  • Our Review Process
  • How it Works
  • How to Search
  • Create a Collection

Manage Curriculum

  • Edit a Collection
  • Assign to Students
  • Manage My Content
Contact Us Site Map Privacy Policy Terms of Use