Lesson Planet
Search educational resources
  • Sign In Try It Free
  • AI Teacher Tools
    • Discover Resources Search reviewed educational resources by keyword, subject, grade, type, and more
    • Curriculum Manager (My Content) Manage saved and uploaded resources and folders To Access the Curriculum Manager Sign In or Join Now
    • Browse Resource Directory Browse educational resources by subject and topic
    • Curriculum Calendar Explore curriculum resources by date
    • Lesson Planning Articles Timely and inspiring teaching ideas that you can apply in your classroom
    • Our Story
    • Frequently Asked Questions
    • Testimonials
    • Contact Us
  • Pricing
  • School Access
    • Your school or district can sign up for Lesson Planet — with no cost to teachers
      Learn More
  • Sign In
  • Try It Free
Vectors Lesson PlanVectors Lesson Plan
Publisher
Curated OER
Curator Rating
Educator Rating
Not yet Rated
Lesson Plan

Vectors

Curated and Reviewed by Lesson Planet
This Vectors lesson plan also includes:
  • Project
  • Join to access all included materials

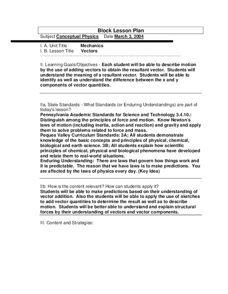
Students describe motion by the use of adding vectors. They identify the difference between the x and y components of vector quantities. Students are given the Paper Bridge Building handout and the instructions as to where to perform the lab. They review and discuss the outcome of the paper bridge building challenge and relatte it vectors.

3 Views 9 Downloads
Concepts

motion, vectors

Additional Tags

motion, vectors, science
Show More Show Less

Resource Details

Grade
10th - 12th
Subjects
Science
1 more...
Resource Type
Lesson Plans
Audience
For Teacher Use
Duration
45 mins
Instructional Strategy
Inquiry-Based Learning

View 65,022 other resources for 10th - 12th Grade Science

© 1999-2026 Learning Explorer, Inc.
Teacher Lesson Plans, Worksheets and Resources

Sign up for the Lesson Planet Monthly Newsletter

Open Educational Resources (OER)

  • Health
  • Language Arts
  • Languages
  • Math
  • Physical Education
  • Science
  • Social Studies
  • Special Education
  • Visual and Performing Arts
View All Lesson Plans

Discover Resources

  • Our Review Process
  • How it Works
  • How to Search
  • Create a Collection

Manage Curriculum

  • Edit a Collection
  • Assign to Students
  • Manage My Content
Contact Us Site Map Privacy Policy Terms of Use