Lesson Planet
Search educational resources
  • Sign In Try It Free
  • AI Teacher Tools
    • Discover Resources Search reviewed educational resources by keyword, subject, grade, type, and more
    • Curriculum Manager (My Content) Manage saved and uploaded resources and folders To Access the Curriculum Manager Sign In or Join Now
    • Browse Resource Directory Browse educational resources by subject and topic
    • Curriculum Calendar Explore curriculum resources by date
    • Lesson Planning Articles Timely and inspiring teaching ideas that you can apply in your classroom
    • Our Story
    • Frequently Asked Questions
    • Testimonials
    • Contact Us
  • Pricing
  • School Access
    • Your school or district can sign up for Lesson Planet — with no cost to teachers
      Learn More
  • Sign In
  • Try It Free
Differentiability and Horizontal and Vertical Tangent Lines Instructional VideoDifferentiability and Horizontal and Vertical Tangent Lines Instructional Video
Publisher
Krista King Math
Resource Details
Curator Rating
Educator Rating
Not yet Rated
Grade
11th - Higher Ed
Subjects
Math
1 more...
Resource Type
Instructional Videos
Media Length
14:22
Audiences
For Teacher Use
1 more...
Duration
15 mins
Instructional Strategy
Direct Instruction
Technology
Video
Internet Access
Year
2015
Instructional Video

Differentiability and Horizontal and Vertical Tangent Lines

Curated and Reviewed by Lesson Planet

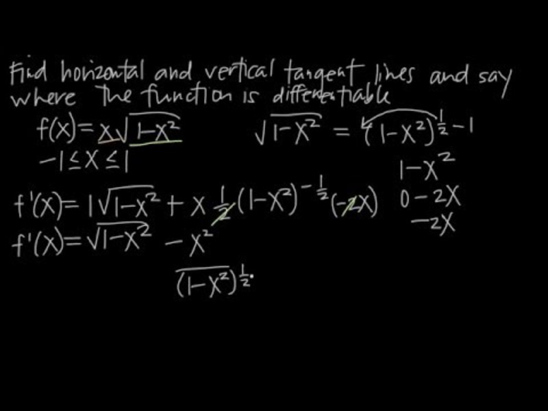
Use slope to find the location of horizontal and vertical tangent lines. Using the derivative of a radical function, the presenter finds the points where the derivative is zero or undefined on a given interval. The 26th in a series of 31 videos shows graphically the location of the horizontal and vertical tangent lines to the function. The resource goes on to interpret the vertical tangent lines in terms of the differentiability of the function.

3 Views 0 Downloads

Concepts

derivatives, differential calculus, tangent lines, horizontal line, horizontal, vertical, vertical lines, slope

Additional Tags

math

Instructional Ideas

  • Have pupils visually estimate the point on the graph where the tangent line would be horizontal or vertical

Classroom Considerations

  • The class should be able to find the values in which a function is not defined
  • Individuals need to be comfortable using the product rule and chain rule
  • This video is hosted on YouTube

Pros

  • Shows all the steps involved in the simplification of the expression
  • Explains and justifies the algebraic manipulations

Cons

  • None

View 13,803 other resources for 11th - Higher Ed Grade Math

© 1999-2026 Learning Explorer, Inc.
Teacher Lesson Plans, Worksheets and Resources

Sign up for the Lesson Planet Monthly Newsletter

Open Educational Resources (OER)

  • Health
  • Language Arts
  • Languages
  • Math
  • Physical Education
  • Science
  • Social Studies
  • Special Education
  • Visual and Performing Arts
View All Lesson Plans

Discover Resources

  • Our Review Process
  • How it Works
  • How to Search
  • Create a Collection

Manage Curriculum

  • Edit a Collection
  • Assign to Students
  • Manage My Content
Contact Us Site Map Privacy Policy Terms of Use