Lesson Planet
Search educational resources
  • Sign In Try It Free
  • AI Teacher Tools
    • Discover Resources Search reviewed educational resources by keyword, subject, grade, type, and more
    • Curriculum Manager (My Content) Manage saved and uploaded resources and folders To Access the Curriculum Manager Sign In or Join Now
    • Browse Resource Directory Browse educational resources by subject and topic
    • Curriculum Calendar Explore curriculum resources by date
    • Lesson Planning Articles Timely and inspiring teaching ideas that you can apply in your classroom
    • Our Story
    • Frequently Asked Questions
    • Testimonials
    • Contact Us
  • Pricing
  • School Access
    • Your school or district can sign up for Lesson Planet — with no cost to teachers
      Learn More
  • Sign In
  • Try It Free
Radical Equations Instructional VideoRadical Equations Instructional Video
Publisher
Krista King Math
Resource Details
Curator Rating
Educator Rating
Not yet Rated
Grade
9th - 12th
Subjects
Math
2 more...
Resource Type
Instructional Videos
Media Length
7:20
Audiences
For Teacher Use
1 more...
Instructional Strategy
Direct Instruction
Technology
Presentation
Internet Access
Year
2014
Instructional Video

Radical Equations

Curated and Reviewed by Lesson Planet

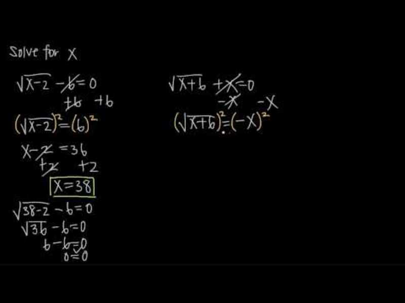
Build an understanding of solving radical equations through an engaging video tutorial. Learners observe the steps of solving radical equations as the instructor works through two examples, including one with an extraneous solution.

3 Views 1 Download
CCSS: Adaptable

Concepts

radical equations, solving equations, extraneous solutions

Additional Tags

math

Instructional Ideas

  • Connect the radical equations with the quadratic equations to highlight the inverse operations

Classroom Considerations

  • If assigning the video as homework, ensure there is access to the Internet
  • Requires a familiarity with solving quadratic functions by factoring
  • This video is hosted on YouTube

Pros

  • Emphasizes the steps of solving with visual reinforcement
  • Uses color to highlight important information

Cons

  • Only shows two examples, which limits the amount of guided practice available

Common Core

HSA-REI.A.2

View 41,189 other resources for 9th - 12th Grade Math

© 1999-2026 Learning Explorer, Inc.
Teacher Lesson Plans, Worksheets and Resources

Sign up for the Lesson Planet Monthly Newsletter

Open Educational Resources (OER)

  • Health
  • Language Arts
  • Languages
  • Math
  • Physical Education
  • Science
  • Social Studies
  • Special Education
  • Visual and Performing Arts
View All Lesson Plans

Discover Resources

  • Our Review Process
  • How it Works
  • How to Search
  • Create a Collection

Manage Curriculum

  • Edit a Collection
  • Assign to Students
  • Manage My Content
Contact Us Site Map Privacy Policy Terms of Use